Публикации → Новости
![]() |
Доллар увеличил гандикап10.11.2015Банк Англии подставил фунту подножку, и тот за прошлую неделю просел на 2,2% в паре с долларом США, к тому же проявив невиданную более чем полгода волатильность. Британский регулятор категорически против укрепления стерлинга, поскольку это... |
![]() |
Рынок ставит на зеро10.11.2015Российские индексы на торгах 9 ноября продемонстрировали слабую разнонаправленную динамику. Более-менее заметно снизились акции электроэнергетической (-1,53%) и телекоммуникационной (-0,74%) отраслей. Рост наблюдался в бумагах транспортного... |
13 правил, чтобы добиться инвестиционного успеха10.11.201513 важных правил, которые станут залогом успешных инвестиций. Они будут полезны инвесторам любого уровня – от новичков до экспертов. Избегать толпы «Бойся, когда другие жадничают, и будь жадным, когда другие боятся», -... |
К вопросу о Слияниях и Поглощениях10.11.2015Ранее мы обещали подробнее рассмотреть рынок М&А (Слияние и Поглощение). Предлагаем, как пример, слияние Роснефти. Году эдак в 2004 я узнал о планах присоединения многих компаний к Роснефти и в дальнейшем переходе на единую акцию. Изучив... |
![]() |
Доходный портфель: движемся верным курсом10.11.2015Как всегда, в начале новой торговой недели, мы подводим итоги управления модельным портфелем Инвесткафе, состоящим из привлекательных высокодоходных облигаций российских компаний, а также предлагаем инвестиционные решения на текущую торговую... |
![]() |
Новые эмиссии на рынке долга: выбор небогатый09.11.2015Из свежих событий на рынке корпоративного долга в первую очередь стоит отметить продолжение размещения в рамках программы биржевого заимствования на 50 млрд руб., которую Магнит утвердил в конце сентября. Речь идет об облигациях десятимиллиардной... |
|
|
Ростелеком не дает конкурентам расслабиться09.11.2015Ростелеком, судя по всему, решил использовать более агрессивные методы в борьбе за новых клиентов в столичном регионе и несколько пожертвовать ценами ради количества абонентов. На днях стало известно о новой акции компании, в рамках которой... |
![]() |
Модельный портфель: индекс ММВБ получил небольшую фору09.11.2015По сложившейся традиции мы публикуем еженедельный обзор результатов управления модельным портфелем Инвесткафе, сформированным из наиболее привлекательных, на наш взгляд, ликвидных акций российских эмитентов за прошедшие пять торговых дней, а... |
![]() |
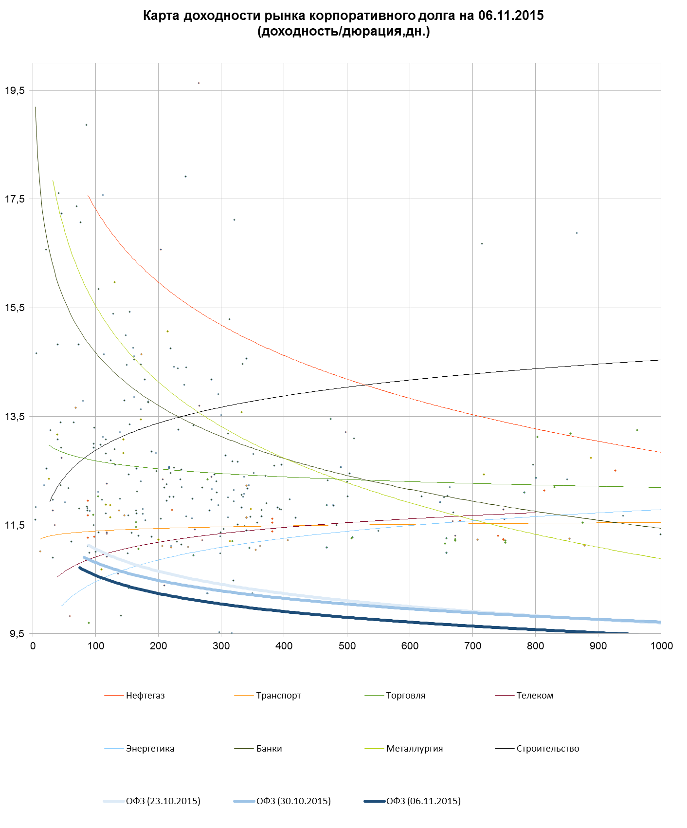
Рынок долга смещает акценты09.11.2015На рынке корпоративного долга постепенно спадает напряжение вокруг Трансаэро. Ожидания инвесторов после отмены сделки с владельцами авиакомпании Сибирь перешли в пессимистическую плоскость, надежды на то, что авиаперевозчик сможет избежать... |
![]() |
Потеряет ли евро доверие?09.11.2015Сильный отчет по американскому рынку труда окончательно развеял сомнения в том, что EUR/USD достигнет ранее поставленного мною таргета в 1,05-1,06. Сейчас остается только один вопрос: сможет ли пара это сделать в этом году или отложит на... |
Дефицит бюджета РФ за 10 месяцев составил 1,3% ВВП09.11.2015Согласно сообщению Reuters, дефицит федерального бюджета РФ в январе-октябре 2019 года составил 768,4 миллиарда рублей, или 1,3 процента ВВП. Об этом заявила первый замминистра финансов Татьяна Нестеренко журналистам в понедельник. Доходы... |
Прибыль СТС Медиа в 3-м кв. выросла более чем вдвое09.11.2015Согласно сообщению Reuters, чистая прибыль телевещательной корпорации СТС Медиа выросла в третьем квартале 2015 года на 138% в годовом исчислении до 2,75 миллиарда рублей из-за разового дохода, говорится в сообщении компании. Выручка сократилась... |
Популярный торрент трекер RuTracker заблокирован навсегда, парламент Каталонии принял решение о начале выхода из состава Испании и другие важные новости09.11.2015Brent - 48,92 доллар - 64,29 Парламент Каталонии принял решение о начале выхода из состава Испании Дефицит бюджета РФ за 10 месяцев 2015 года составил 1,3% ВВП В здании РАН в Москве произошел взрыв в отделении суперкомпьютера... |
Что отличает успешных инвесторов от остальных09.11.2015Количество миллиардеров в мире, кажется, только растет. На данный момент в этом писке находится 1826 человек. Несмотря на недавние потрясения, происходившие на мировом рынке, включая снижение цен на товары и сырье, а также шок фондового рынка в... |
|
|
QIWI вошла в переходный возраст09.11.2015Похоже, для международного платежного сервиса QIWI наступают непростые времена. Одной из последних новостей об этой компании стало известие о сокращении количества терминалов агентской сети, спровоцированное тем, что еще летом ЦБ обнаружил... |
Нефтегазовые компании мира активно сокращают инвестиции09.11.2015Согласно сообщению от Интерфакса, мировые нефтегазовые компании сократили инвестиции на $200 млрд с начала года и свернули добывающие проекты совокупной мощностью порядка 5 млн баррелей в сутки. Так утверждает саудовский принц Абдул Азиз бин... |
Евраз выкупил евробонды Распадской на $166 млн09.11.2015Евраз объявил результаты оферты, сделанной 29 октября 2015 г. дочерним обществом ЕВРАЗа Evraz Group S.A. (далее «Оферент») в отношении облигаций со сроком погашения в 2017 г., выпущенных Raspadskaya Securities Limited. В соответствии... |
РФ обгоняет Китай по темпам сокращения импорта09.11.2015Согласно сообщению агентства Interfax, предварительные данные Федеральной таможенной службы говорят о сокращении импорта с января по октябрь текущего года на 37,9%, до $132 млрд 840,2 млн по сравнению с годом ранее. А в октябре в годовом... |
![]() |
Долговой рынок не дает отбой тревоги09.11.2015На прошедшей неделе кривая доходности государственных облигаций сохранила свой вид, хотя доходности всех выпусков равномерно упали на 0,24%. Инвесторы уже третью неделю подряд соглашаются с тем, что страновые риски ослабевают, но одновременно... |
Официальные курсы ЦБ РФ с 10 ноября - 64,6606 руб/$ и 69,6136 руб/EUR09.11.2015Cтоимость рубля по отношению к доллару США снизилась по сравнению с предыдущим днем на 1,51% . Стоимость рубля по отношению к евро снизилась на 0,51% . Остатки средств на корреспондентских счетах кредитных организаций по РФ на... |
Взгляд аналитика: Власти приостановили авиасообщение с Египтом – негатив для Аэрофлота09.11.2015Президент прекратил авиасообщение с Египтом до выяснения причин крушения самолета на Синае. В прошлые выходные Россия начала вывозить туристов из Египта (по некоторым оценкам, 80 тыс. человек); в Египет отравляются пустые самолеты. По... |
Попытка ММВБ отскочить наверх пока не удалась. НЛМК дорожает после публикации отчета09.11.2015Индекс ММВБ 1753,10 (-0,08%) Индекс РТС 853,87 (-0,06%) Индекс ММВБ открылся ростом, однако в данный момент торгуется в небольшом минусе. Валютная пара USD/RUB сегодня подорожала до 64,7 руб. На этом фоне фьючерс на индекс РТС... |
Чистая прибыль НЛМК по МСФО в 3 квартале выросла на 153%09.11.2015Согласно опубликованным финансовым результатам группы НЛМК по МСФО в 3 квартале 2015 года показатель EBITDA вырос на 6% кв/кв до $508 млн, рентабельность увеличилась до 25%. Свободный денежный поток увеличился на 100% кв/кв до $372 млн. Чистая... |
![]() |
Новости отправят рынок в минус09.11.2015Как и ожидалось, российские индексы провели торговую сессию 6 ноября в «красной зоне». Значительнее остальных снижались акции электроэнергетической (-1,18%) и нефтегазовой (-0,74%) отраслей. При этом неплохой рост наблюдался в бумагах... |
Ожидаемая макростатистика по США и другим странам на 9 ноября09.11.201510:00 мск - Германия - Экспорт - сентябрь Прогноз: 2,1% Предыдущее значение: -5,2% 10:00 мск - Германия - Импорт - сентябрь Прогноз: 0,9% Предыдущее значение: -3,1% 10:00 мск - Германия - Торговый баланс, млрд. евро - сентябрь Прогноз: 20... |












