Публикации → Новости
Сбитый в районе Алеппо самолет Су-22 принадлежал сирийским ВВС, в РФ будет создано военно-патриотическое движение "Юнармия" и другие важные новости05.04.2016Brent - 37,52 доллар - 69,13 В РФ будет создано военно-патриотическое движение "Юнармия" Для российских СМИ ставка НДС будет равна нулю – Минкомсвязи Сбитый в районе Алеппо самолет Су-22 принадлежал... |
![]() |
Дикси несет тяжелые потери05.04.2016Один из крупнейших российских ритейлеров Дикси раскрыл финансовые результаты за 2015 год, ставший для компании далеко не самым удачным, поскольку чистая прибыль упала более чем в семь раз по сравнению с показателем 2014 года, даже несмотря на... |
![]() |
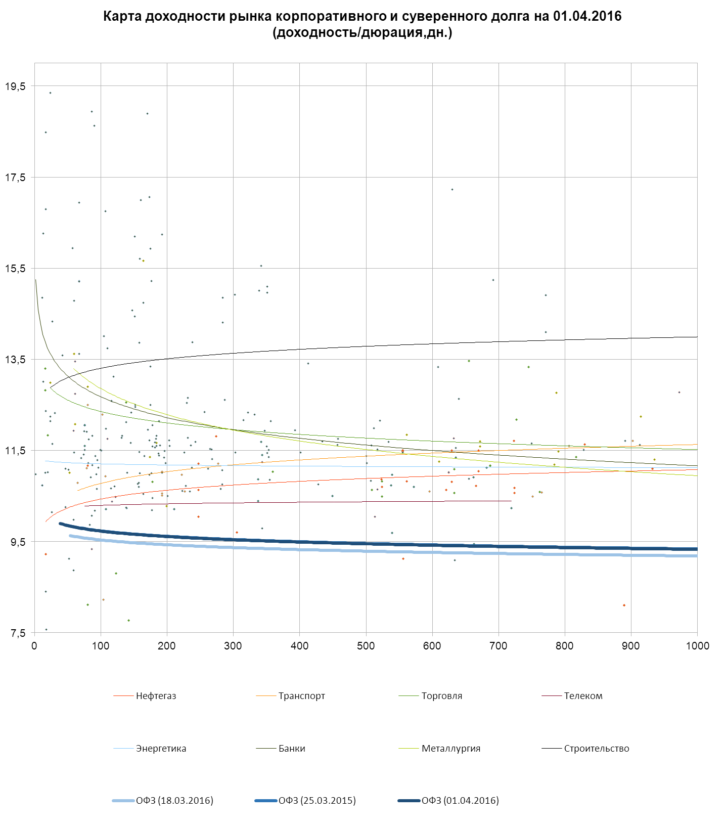
Нефть не успела расстроить долговые инструменты05.04.2016Макроэкономический фон на прошлой неделе был довольно спокойным, несмотря на волатильность на сырьевых рынках. Индекс РТС колебался между 862,22 и 861,96, ММВБ опустился с 1866,23, до 1856,77 пункта. Цены на Brent к пятнице опустились до... |
![]() |
Модельный портфель ETF: минус как победа05.04.2016С ноября 2014 года мы ежемесячно публикуем модельный портфель на основе вложений в несколько ETF. На этот раз представляем вниманию читателей итоги инвестирования в марте 2016 года и определяемся со стратегией на апрель. В состав портфеля... |
![]() |
Доходный портфель: все путем05.04.2016В начале новой торговой недели мы, как обычно, подводим итоги управления модельным портфелем Инвесткафе, состоящим из привлекательных облигаций российских компаний, а также предлагаем инвестиционные решения на торговую неделю с 4-го по 8... |
Индексы снижаются на открытии вслед за нефтью05.04.2016Падают российские индексы на открытии торгов вторника на фоне снижения цен на нефть. Котировки Brent находятся на месячных минимумах в районе $37,5 за баррель. Пара USD/RUB с расчетами завтра восстанавливается после снижения последних недель,... |
Завтрак инвестора: Энел Россия может продать часть своих ГРЭС и другие новости этого утра05.04.2016Энел Россия может продать часть своих ГРЭС . Но целиком итальянская компания уходить из России пока не собирается. Компания ищет покупателей на свои российские активы, рассказали Ведомостям источник, близкий к самой Энел Россия, а также два... |
![]() |
На рынке закручиваются гайки05.04.2016Торги 4 апреля на российских площадках характеризовались слабой разнонаправленной динамикой. Вверх шли котировки горнодобывающего (+1,39%) и электроэнергетического (+1,38%) секторов. Снижались бумаги телекоммуникационной (-0,76%) и финансовой... |
PMI сектора услуг РФ в марте вырос до 52,0 пунктов05.04.2016Сектор услуг России рос в марте 2016 года самыми быстрыми темпами за последние 10 месяцев, что обусловлено оживлением в сфере финансового посредничества, а также гостиниц и ресторанов, свидетельствуют результаты опроса, проведенного Markit.... |
ОЖИДАЕМЫЕ СОБЫТИЯ 5 АПРЕЛЯ 201605.04.2016В РОССИИ ГОСА Полюс Золото ГОСА ЛСР Мероприятия, приуроченные к 60-летию Объединенного института ядерных исследований. Участники: генеральный секретарь ООН Пан Ги Мун; генеральный директор ЮНЕСКО Ирина Бокова; генеральный директор МАГАТЭ... |
![]() |
Модельный портфель: общий счет в нашу пользу04.04.2016По традиции в начале новой торговой недели мы предлагаем вниманию читателей обзор результатов управления модельным портфелем Инвесткафе, сформированным из наиболее, на наш взгляд, привлекательных и ликвидных акций российских эмитентов, а также... |
![]() |
Санкции Роснефти не помеха04.04.2016Из опубликованной на минувшей неделе отчетности Роснефти по МСФО за 2015 год следует, что прошлогоднее снижение мировых цен на нефть не помешало компании пусть символически, но все же увеличить чистую прибыль на фоне снижения выручки почти на 7%.... |
Совет директоров ЛУКОЙЛа рассмотрит новую дивидендную политику 26 апреля04.04.2016Совет директоров ЛУКОЙЛа обсудит выплату дивидендов за 2015 год и рассмотрит новую дивидендную политику компании 26 апреля 2016 года. Об этом сообщил в ходе телефонной конференции вице-президент компании Леонид Федун. «Также поручение дано... |
![]() |
Сбер дебютировал на рынке долга04.04.2016Рынок новых размещений на прошедшей неделе стал еще шире. Эмитенты активно наращивают предложение, пользуясь конъюнктурой, связанной со снижением доходностей на фоне стабилизации экономического окружения. Самая интересная для инвесторов... |
![]() |
«Австралиец» еще не готов признать поражение04.04.2016Сильная статистика по американской занятости и заявление президента ФРБ Кливленда Лоретты Местер, что, если ФРС не поднимет ставки в ближайшем будущем, это вернет повышенную турбулентность на финансовые рынки, не смогли серьезно пошатнуть позиции... |
Медведев отметил растущий спрос на российский уголь в АТР, Армения может признать независимость Нагорного Карабаха в случае продолжения военных действий и другие важные новости04.04.2016Brent - 38,48 доллар - 67,96 Новак заявил, что РФ может провести отдельные переговоры с Эр-Риядом Президент Армении заявил о десятках погибших в армии Азербайджана - В Баку в свою очередь заявили об уничтожении трех танков и... |
![]() |
Нефтяники стали героями недели на рынке долга04.04.2016В насыщенном потоке корпоративных событий прошлой недели в первую очередь стоит выделить выход годовой отчетности Роснефти, Сургутнефтегаза и Татнефти. Помимо того, что эти крупнейшие компании так или иначе вовлечены в планы будущей масштабной... |
![]() |
НЛМК сохраняет устойчивость04.04.2016За 2015 год НЛМК по МСФО увеличил чистую прибыль на 25%, до $967 млн. Столь существенный рост показателя связан с низкой базой 2014 года, когда были начислены убытки от обесценивания. Положительно на прибыли сказалось еще и снижение убытков NBH,... |
ММК думает продавать акции Fortescue маленькими частями04.04.2016Один из крупнейших производителей стали в России Магнитогорский меткомбинат, которому принадлежит около 5% крупного австралийского производителя железной руды Fortescue, собирается избавляться от ее акций, продавая их маленькими частями. Об этом... |
![]() |
Иена не устоит перед фунтом04.04.2016Опубликованная на прошлой торговой неделе в Великобритании и Японии макроэкономическая статистика позволяет открывать длинные позиции по GBP/JPY. В первый апрельский день вышли релизы от Markit Economics по индексам деловой активности в... |
Официальные курсы ЦБ РФ с 5 апреля - 68,6753 руб/$ и 78,1662 руб/EUR04.04.2016Cтоимость рубля по отношению к доллару США снизилась по сравнению с предыдущим днем на 2,23% . Стоимость рубля по отношению к евро снизилась на 2,23% . Остатки средств на корреспондентских счетах кредитных организаций по РФ на... |
![]() |
У рынка три причины снизиться04.04.2016Первую торговую сессию апреля российские индексы завершили в «красной зоне». Снижались бумаги химической (-1,83%) и финансовой (-1,05%) отраслей. Вверх шли лишь котировки горнодобывающего (+0,71%) и электроэнергетического (+0,14%) секторов. Объем... |
Чистая прибыль Газпрома за 2015 год по РСБУ выросла в 2 раза01.04.2016Чистая прибыль Газпрома за 2015 год по РСБУ выросла в 2 раза – до 403,523 млрд рублей. Выручка в январе-декабре 2015 года увеличилась на 8,6% - до 4,334 трлн рублей. Прибыль до налогообложения в отчетном периоде составила 434,489 млрд... |
В РФ будут проиндексированы социальные пенсии и выплаты на 4%, Газпром снизил цену на топливо для Украины до менее чем $180 за тыс.куб и другие важные новости01.04.2016Brent - 38,79 доллар - 68,05 Газпром снизил цену на топливо для Украины до менее чем $180 за тыс.куб Президент РФ утвердил национальный план противодействия коррупции В РФ будут проиндексированы социальные пенсии и... |
Официальные курсы ЦБ РФ с 2 апреля - 67,1410 руб/$ и 76,4266 руб/EUR01.04.2016Cтоимость рубля по отношению к доллару США повысилась по сравнению с предыдущим днем на 1,05% . Стоимость рубля по отношению к евро повысилась на 0,64% . Остатки средств на корреспондентских счетах кредитных организаций по РФ на... |
















